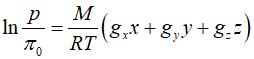
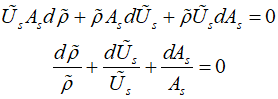
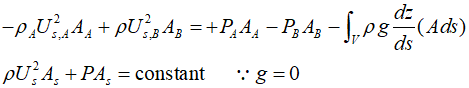
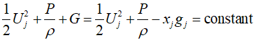
In this post, we are dealing with a linear plane rectangular element that has four nodes, and the issue at hand involves calculating the forces acting on each node when there is a uniform surface tension. The thickness of the element is 0.25cm, as follows. First, the formula for calculating the surface traction needed to solve the problem is as follows. To calculate the surface tension for edge ..