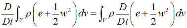
There are various forms of the energy equation, one of which is the total energy equation in its simplest form. Since the total energy per unit volume consists of internal energy, denoted as $\rho e$, and kinetic energy, denoted as $\rho {w^2}/2$, the rate of change of total energy in the material volume $V$ can be calculated as follows.

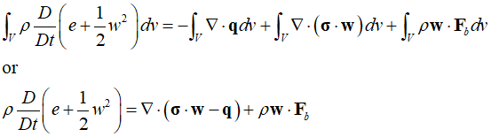
The fluid within volume $V$ experiences heat transfer with its surroundings, and the rate at which work is done on $V$ by surface and body forces is also included. The rate of change of total energy in the material volume is determined by the rate of heat transfer to $V$ and the rate at which work is done on the material volume.

Summarizing the above equations yields the following.

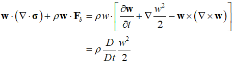
Using Newton's second law and the equation for acceleration, the kinetic energy equation can be derived.

Subtracting the two equations yields the following result.

The rate of work done as a result of surface forces, denoted by ${\bf{w}} \cdot \left( {\nabla \cdot {\bf{\sigma }}} \right)$, describes the rate of displacement work. Aming these, the dot product term represents the rate of work related to static and viscous stresses. Thus, the internal energy equation is as follows.

'Fluid Dynamics' 카테고리의 다른 글
| 88_Bernoulli Equation (1) | 2024.02.26 |
|---|---|
| 87_Equation of Motion (0) | 2024.02.25 |
| 86_Newton's Second Law of Motion (0) | 2024.02.24 |
| 85_Hyrdostatics (0) | 2024.02.23 |
| 83_Reynolds' Transport Theorem (0) | 2024.02.21 |