In this post, we are dealing with a linear plane rectangular element that has four nodes, and the issue at hand involves calculating the forces acting on each node when there is a uniform surface tension. The thickness of the element is 0.25cm, as follows.

First, the formula for calculating the surface traction needed to solve the problem is as follows.

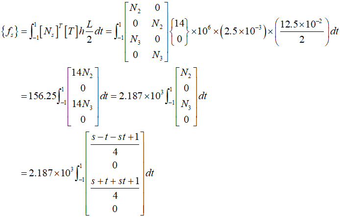
To calculate the surface tension for edge 2-3 using shape functions ${N_2}$ and ${N_3}$, the above formula must be modified as follows.

The shape functions for a linear plane element consisting of four nodes are as follows.

The surface traction matrix and the length of edge 2-3 are as follows.

Using the determined shape functions and surface force matrix, calculate the surface force for edge 2-3.

For explicit calculation, set $s=1$ and the final surface force can be calculated through integration.

The calculated surface force can be represented in explicit form for nodes 2 and 3.

Through this process, the surface forces acting on the structure can be accurately calculated, allowing for the assessment of stress distribution, strain stability, and other aspects of the structure.
'Finite Element Method' 카테고리의 다른 글
| 95_Tetrahedral Element Example (0) | 2024.03.04 |
|---|---|
| 94_Two-Point Gaussian Integration (0) | 2024.03.03 |
| 91_Plane Stress Example (0) | 2024.02.29 |
| 49_Heat Transfer with Mass Transport (0) | 2024.01.18 |
| 48_2-D Heat Transfer Example (0) | 2024.01.17 |