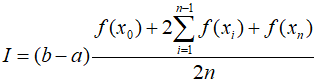
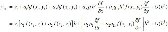
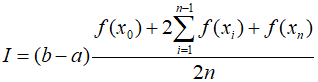
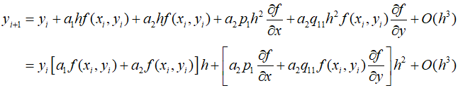
The Runge-Kutta method achieves the accuracy of the Taylor series method without the need to calculate higher-order derivatives. Although various variations exist, it can be generally expressed in the following forms. Here, $\phi ({x_i},{y_i},h)$ is referred to as the increment function, and it can typically be written as follows. The second-order version of the above formula can be expressed ..