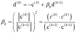
In this post, I'll solve an example using the BFGS algorithm as explained in the last post(122_BFGS Method). Set ${x^{(0)}} = (1,2)$, ${{\text{H}}^{(0)}} = {\text{I}}$, $\varepsilon = 0.001$, and $k=0$. Setting the Hessian to the identity matrix makes it equivalent to the steepest descent step. First, calculate the gradient vector ${\text{c}}$. Calculate the norm and criterion check. Since the n..