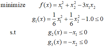
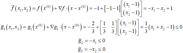
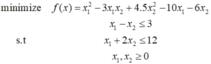
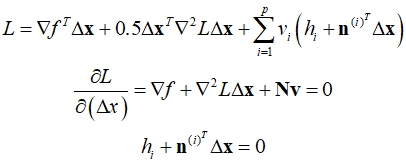
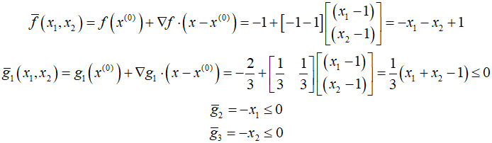
In this post, I'll solve an example using the the SQP algorithm described in the previous post. Starting point is $(1,1)$, ${R_0}=10$, $\gamma = 0.5$, and $\varepsilon = 0.001$. The initial iteration of the SQP algorithm is identical to the CSD algorithm. The result of the first iteration is as follows. At ${x^2}$, the gradients for the cost function and constraints are calculated as follows. Ca..