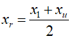
In this post, apply the golden-section search method to an example, as discussed in the previous post(142_Golden-Section Search). Since the method is straightforward, today's post will be brief. Use the golden-section search method to find the maximum value of a function, setting ${x_l}=0$ and ${x_u}=4$. First, create two internal points using the golden ratio. Calculate the function values at t..