We derive the fundamental differential equation for one-dimensional heat flow due to thermal conduction, convection, and mass transfer in a fluid.
The Galerkin's residual method is used for problems where variational methods are not applicable. We start with the equation for thermal energy conservation discussed in the previous post(42_One-Dimensional Heat Conduction).

The mass transfer term(${q_m}$) can be represented as ${q_m} = \dot mcT$, where $\dot m$ denotes the mass flow rate.
Upon arranging the equation and differentiating with respect to $x$ and $t$, it becomes as follows.

The fundamental one-dimensional differential equation can be derived for the case where heat transfer occurs along with mass transfer.
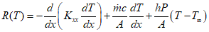
We will derive the finite element equation by applying Galerkin's residual method to the differential equation above. Here, $Q$ is assumed to be 0, and we assume a steady-state condition with no time-dependent differentiation.
The residual $R$ is as follows.

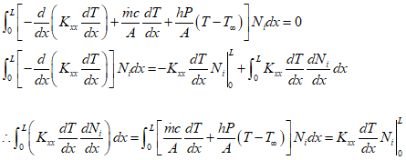
Applying Galerkin's methods $\iiint\limits_v {R{N_i}dV} = 0$.

In the above equation,

By setting ${N_i} = {N_1} = 1 - \frac{x}{L}$ and rearranging the above equations, the first finite element equation can be obtained.

The above equation, since ${N_1}=1$ at $x=0$ and ${N_1}=0$ at $x=L$, implies that there is a boundary condition with ${q^*}$ only at $x=0$. Integrating this yields the following.

To obtain the second finite element equation, assume ${N_i} = {N_2} = \frac{x}{L}$ and rearrange the above equations, which results in the following.

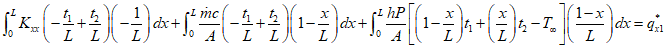
If the two equations are expressed in matrix form, it is as follows.

Applying the element equation $\left\{ f \right\} = \left[ k \right]\left\{ t \right\}$ to the above equation, the element stiffness matrix can be represented as follows.

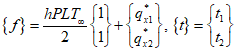
The element node force matrix and the unknown node temperature matrix can be represented as follows.

As can be seen from the above equation, the mass transfer stiffness matrix (${k_m}$) is asymmetric, and therefore $[k]$ is also asymmetric.
'Finite Element Method' 카테고리의 다른 글
| 93_Linear Plane Quadrilateral Example (0) | 2024.03.02 |
|---|---|
| 91_Plane Stress Example (0) | 2024.02.29 |
| 48_2-D Heat Transfer Example (0) | 2024.01.17 |
| 47_2-D Heat Transfer Finite Element Formulation (0) | 2024.01.16 |
| 46_1-D Heat Transfer Example(2) (0) | 2024.01.15 |