In this post, I aim to study the fundamental partial differential equation of one-dimensional heat transfer without convection. Through this, we can enhance our physical understanding of heat transfer phenomena.
According to the law of energy conservation, the following relationship holds:


Where, ${E_{{\text{in}}}}$ is represents the energy entering the volume, $U$ is the change in stored energy, ${q_x}$ is the heat transferred into the volume, ${q_x}+{d_x}$ is the heat exiting the volume at surface $x+{d_x}$, $t$ is time, $Q$ is the internal heat source, denoting the amount of heat generated per unit volume, and $A$ is the cross-sectional area perpendicular to the heat flux $q$.
By Fourier's law of heat conduction,

Where, ${K_{xx}}$ represents the thermal conductivity in the $x$-direction, $T$ is temperature, and $dt/dx$ is the temperature gradient in the $x$-direction.
From the above equation, it can be understood that the heat flux in the $x$-direction is proportional to the temperature gradient in the $x$-direction. The negative sign typically signifies that the heat flow generally has a positive value in the direction opposite to that of the temperature increase.

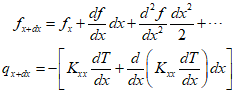
The above equation can be expressed as follows through Taylor series expansion.

The change in stored energy is as follows.

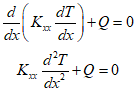
Summarizing the equations so far, the following one-dimensional heat transfer equation can be obtained.

In a steady state, the derivatives with respect to time are all zero, thus it is as follows.

The boundary conditions are as follows, where ${T_B}$ is the known boundary temperature, and ${S_1}$ is the surface where the temperature is known.

Where, ${S_2}$ is the surface where the temperature gradient is known, and at an insulated boundary, $q_x^*$ equals 0.
'Finite Element Method' 카테고리의 다른 글
| 44_1-D Heat Transfer Finite Element Formulation(2) (1) | 2024.01.13 |
|---|---|
| 43_1-D Heat Transfer Finite Element Formulation (0) | 2024.01.12 |
| 41_Tetrahedral Element (1) | 2024.01.10 |
| 40_3-Dimensional Stress and Strain (0) | 2024.01.09 |
| 39_High Order Example (0) | 2024.01.08 |