Today, based on what we studied in the previous post, I'll solve an example problem.

In the figure above, we calculate the temperature distribution along the insulated external boundary.
The temperature at the left side is ${40^ \circ }{\text{C}}$, the convection coefficient $h = 100{\text{W/}}{{\text{m}}^{\text{2}}}{ \times ^{\text{o}}}{\text{C}}$, the free-steam temperature ${T_\infty } = {10^ \circ }{\text{C}}$, the coefficients of thermal conductivity are ${K_{xx}} = {K_{yy}} = 40{\text{W/}}\left( {{{\text{m}}^{\text{2}}}{ \times ^{\text{o}}}{\text{C}}} \right)$, and the edges on the top and bottom are insulated.
Dividing into four elements of equal size, convective heat loss occurs only at the right surface.
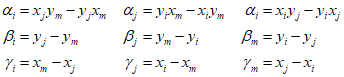
Using the coordinate information of the first element, it can be calculated as follows.


Therefore, the stiffness matrix for the first element can be calculated as follows.

Using the coordinate information of the second element, it can be calculated as follows.

And, the stiffness matrix for the second element can be calculated as follows.

Third element,

Finally, using the coordinate information of the fourth element, it can be calculated as follows.

And the fourth element has a convection term since there is heat loss at the right end.

Therefore, the stiffness matrix for the fourth element is as follows.

By assemble the stiffness matrices of the four elements to calculate the overall stiffness matrix, it results as follows.

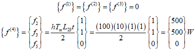
The element force matrix has $Q=0$(no heat source), ${q^*}=0$(no heat flux), and since there is convection only at the right end, it can be calculated as follows.

By assembling the stiffness matrix and the force matrix, the following system of equation can be obtained.

And since we know that ${t_1} = {40^ \circ }{\text{C}}$ and ${t_4} = {40^ \circ }{\text{C}}$. Therefore, it can be modified as follows.

Therefore, since there are five equations and five unknowns, the solution can be calculated as follows.

'Finite Element Method' 카테고리의 다른 글
| 91_Plane Stress Example (0) | 2024.02.29 |
|---|---|
| 49_Heat Transfer with Mass Transport (0) | 2024.01.18 |
| 47_2-D Heat Transfer Finite Element Formulation (0) | 2024.01.16 |
| 46_1-D Heat Transfer Example(2) (0) | 2024.01.15 |
| 45_1-D Heat Transfer Example (0) | 2024.01.14 |