Based on the theoretical part previously explained, let's solve an example of estimating the value at $x=5$ using quadratic splines from the data provided below.

In the current problem, there are four data points and $n=3$ intervals, so we need to determine 9 unknowns. The following conditions can be applied.

By substituting the initial and final values into the first and last functions, two more equations can be added.

Through the continuity of derivatives, two additional equations can be obtained.

Since ${a_1}=0$, this reduces the problem to solving 8 simultaneous equations. Expressed in matrix form, it as follows.

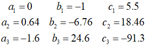
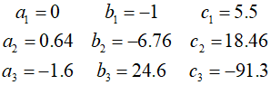
Once these equations are solved, the solution would be as follows.

By substituting these solutions back into the original quadratic equations, we can demonstrate the following relationships for each interval.

Therefore

'Numerical Methods' 카테고리의 다른 글
| 155_Least Squares Fit (0) | 2024.05.03 |
|---|---|
| 154_Cubic Splines (0) | 2024.05.02 |
| 152_Derivation of Cubic Splines (0) | 2024.04.30 |
| 151_Lagrange Interpolation Polynomials (0) | 2024.04.29 |
| 150_Newton's Interpolation Polynomials (0) | 2024.04.28 |