Continuing from the previous post, I will write the remaining part.
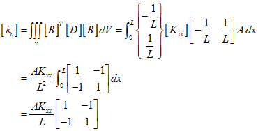
In the heat transfer problem, we derived the element thermal conductivity matrix. From the thermal conductivity matrix, the following equation can be derived.

The above equation represents the heat conduction and convection equation. Therefore, it can be summarized as follows.

Using the first integral term, the thermal conduction part of the one-dimensional element stiffness matrix can be defined as follows.

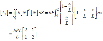
Next, the convection part of the one-dimensional element stiffness matrix can be defined as follows.

Where, $dS = P\,dx$ and $P$ is the perimeter of the element.
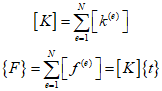
Therefore, by adding the two equations, the stiffness matrix can be obtained as follows.

At the boundaries of the element where $h$ is zero, the convection part, which is the second term in the above equation, becomes zero, implying an insulated boundary. Assuming $Q$, ${q^*}$, and $h{T_\infty }$ as constants and organizing, the force matrix can be arranged as follows.

From the above equation, it can be seen that half of each of the heat source $Q$, uniform heat flux ${q^*}$, and convection $h{T_\infty }$ occurring around the surface moves to the node.
Additionally, convection occurring at the end of the element must be considered. Assuming convection occurs only at the right end of the element, the convection term of the stiffness matrix can be represented as follows.

Assuming it is the right end of the element, ${N_1}=0$ and ${N_2}=1$.

Calculating the shape function at the right end and applying the convective surface ${S_3}$ equal to the cross-sectional area $A$, the above convection equation can be obtained, and it can be calculated as follows.

Therefore, it can be summarized as follows.

'Finite Element Method' 카테고리의 다른 글
| 46_1-D Heat Transfer Example(2) (0) | 2024.01.15 |
|---|---|
| 45_1-D Heat Transfer Example (0) | 2024.01.14 |
| 43_1-D Heat Transfer Finite Element Formulation (0) | 2024.01.12 |
| 42_One-Dimensional Heat Conduction (1) | 2024.01.11 |
| 41_Tetrahedral Element (1) | 2024.01.10 |