To evaluate thermal stress, it is necessary to know the temperature distribution inside the object, and the finite element method is an effective way to predict quantities such as internal temperature distribution and thermal stress.
In this post, I intend to explore the one-dimensional heat transfer equation using the variational method.

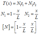
The temperature function and displacement function can be represented as follows.

And the nodal temperature matrix is as follows.

Therefore, arranging the temperature function, it is as follows.

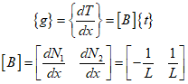
The temperature gradient matrix $g$ and the strain matrix $\varepsilon $ are as follows, and $B$ can be obtained by differentiating with respect to $x$.

The relationship between heat flux and temperature gradient, and the material property matrix $D$, are as follows.

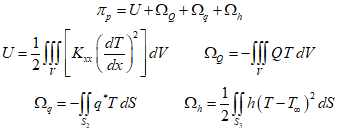
From the minimization of the thermal conductivity function in steady state covered in the previous post, the following equation can be derived, and this function is similar to a potential energy function(${\pi _p}$).

${S_2}$ and ${S_3}$ are distinct surface areas where heat flux ${q^*}$ and convective losses $h(T - {T_\infty })$ exist. Summarizing the above equations, they can be represented as follows.

By performing a partial derivative with respect to $t$ on the above equation, which explicitly includes the surface integral ${S_3}$ and keeps $t$ inside the integral, it becomes as follows.

${f_Q}$ represents the heat source, analogous to body forces in stress analysis problems, ${f_q}$ is the heat flux, and ${f_h}$ represents heat transfer, similar to distributed loads in stress analysis problems.
I will continue writing in the next post.
'Finite Element Method' 카테고리의 다른 글
| 45_1-D Heat Transfer Example (0) | 2024.01.14 |
|---|---|
| 44_1-D Heat Transfer Finite Element Formulation(2) (1) | 2024.01.13 |
| 42_One-Dimensional Heat Conduction (1) | 2024.01.11 |
| 41_Tetrahedral Element (1) | 2024.01.10 |
| 40_3-Dimensional Stress and Strain (0) | 2024.01.09 |