In this post, I'll explain the equations required for the Constant-Strain Triangular(CST) element.

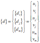
The basic triangle in the picture has nodes $i$, $j$, and $m$. Triangular elements are often used to approximate curved shapes. Each node has two degrees of freedom in $x$ and $y$, and the displacement matrix for the nodes is as follows.

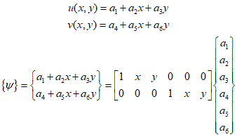
The linear displacement function for each element can be represented as follows, and can also be expressed in matrix form.

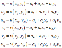
To obtain the values of $a$, node coordinates are substituted and calculated.

In matrix form as

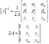
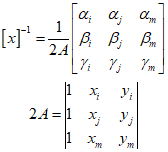
The inverse matrix of $x$ can be summarized as follows.

Therefore, the determinant of the matrix $x$ can be represented as follows.

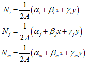
Where $A$ represents the area of the triangle. Summarizing the above equations

Upon rearranging th represent the displacement in matrix form again, it appears as follows.

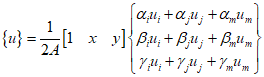
Therefore,

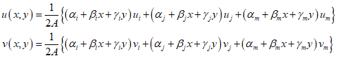
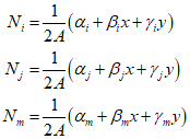
To simplify the above two equations, the following assumptions are made.

Using the above equation, the displacement function can be re-expressed as follows.

'Finite Element Method' 카테고리의 다른 글
| 28_Stress Strain relationship (0) | 2023.12.28 |
|---|---|
| 27_Element Strain (0) | 2023.12.27 |
| 25_Castigliano's First Theorem (0) | 2023.12.25 |
| 24_Castigliano's Second Theorem (0) | 2023.12.24 |
| 23_2D Stress and Strain (1) | 2023.12.23 |