Today, I'll explain Castigliano's Second Theorem, which is used to find the deflection of elastic structures based on the strain energy of the structure.
Castigliano's Second Theorem can be summarized as 'the partial derivative of the strain energy of an elastic structre with respect to the load is equal to the displacement' and I intend to explain this using the corresponding equation.

Assuming a simply supported beam of length $L$ with forces ${P_1},{P_2}, \cdots ,{P_n}$, acting at defferent positions ${x_1},{x_2}, \cdots ,{x_n}$, the displacements at these positions are denoted as ${u_1},{u_2}, \cdots ,{u_n}$. The material is linear elastic, following Hooke's Law and principle of superposition.
In this case, the external work($W$) and the strain energy($U$) of the structure can be represented as follows.

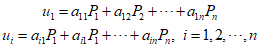
The displacements ${u_1}$ are caused by forces ${P_1},{P_2}, \cdots ,{P_n}$ acting at distances ${x_1},{x_2}, \cdots ,{x_n}$, and can be expressed as follows.

Substituting the above equation into the strain enerygy($U$) gives the following.

Maxwell-Betti's reciprocal theorem ${a_{ij}} = {a_{ji}}$.

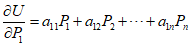
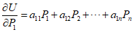
The derivative of the strain energy with respect to ${P_1}$ yields.

Therefore, the derived equation is identical to the equation for displacement above. Summarized, it is as follows.

Therefore, for a structure within the linear elastic range, the partial derivative of the total strain energy with respect to an external load can be calculated to be equal to the displacement at the point of application of the load in the direction of the applied load.
'Finite Element Method' 카테고리의 다른 글
| 26_Constant-Strain Triangular element (0) | 2023.12.26 |
|---|---|
| 25_Castigliano's First Theorem (0) | 2023.12.25 |
| 23_2D Stress and Strain (1) | 2023.12.23 |
| 19_Weighted residual methods (0) | 2023.12.19 |
| 18_Principle of virtual work (0) | 2023.12.18 |