
${\sigma _x}$ and ${\sigma _y}$ is the normal stress, ${\tau _{xy}}$ is the shear stress acts on the x edge in the $y$ direction, ${\tau _{yx}}$ is the shear stress acts on the $y$ edge in the $x$ direction.
Represented by the vector column matrix as follows.

And general definitions of normal and shear strins as follows.

Represented by the vector column matrix as follows.

For plane stress, the assumption is as follows.

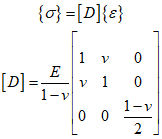
Additionally, under plane stress conditions, the stress/strain relationship is as follows.

If plane strain, the assumption is as follows.

Additionally, under plane strain conditions, the stress/strain relationship is as follows.

'Finite Element Method' 카테고리의 다른 글
| 25_Castigliano's First Theorem (0) | 2023.12.25 |
|---|---|
| 24_Castigliano's Second Theorem (0) | 2023.12.24 |
| 19_Weighted residual methods (0) | 2023.12.19 |
| 18_Principle of virtual work (0) | 2023.12.18 |
| 17_Direct Methods examples (0) | 2023.12.17 |