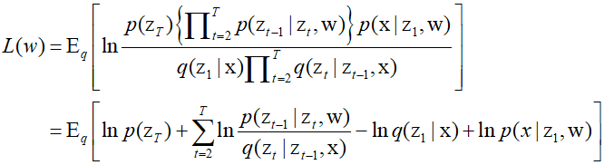
A graph is a mathematical structure composed of a set of objects called vertices or nodes, and a set of connections called edges. A graph can be represented using the notation $G=(V,E)$, where $G$ stands for the graph, $V$ is the set of vertices, and $E$ is the set of edges. Here, edges represent the connections between nodes. One of the most fundamental properties of a graph is whether it is di..