Today, I'll simulate the interference between two slits composed of waves or sound using COMSOL. I'll generate plane waves using two thin wavelengths leading to the slits on the screen and calculate the pattern on the opposite side. For detailed information, please refer to the COMSOL Application Library.
Theoretically, the amplitude becomes minimal where the difference in path length is an odd multiple of half the wavelength, and maximal where it is an even multiple.

If the distance $D$ between the slits is set to $2\lambda $, the maximum values appear at ${\text{\theta }} = 0$ and $30$ degrees, while the minimum values occur at ${\text{\theta }} = 14.48$ and $48.59$ degrees.
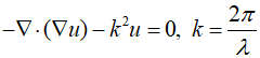
The wave equation, when transformed into the Helmholtz equation, is as follows.

The absorbing boundary conditions is as follows.

Where ${\bf{n}}$ represents the outward normal vector to the boundary. This is derived under the assumption that the entire wave is composed of the sum of a vertically incident plane wave and an outgoing plane wave.

Where the first term represents the outgoing wave, and the second term represents the incident wave. For example, the normal derivative at the left boundary along the x-axis of the computational domain can be represented as follows.

In Model Wizard - 2D - Mathematics - PDE interfaces - Coefficient Form PDE - Add - Study
In Study - Stationary - Done
Add Parameters
name : l
Expression : 0.1[m]
name : k
Expression : 2*pi[rad]/l
Create Geometry
Circle
Sector angle : 180
x position : 0.5
Rotation Angle : -90
Rectangle 1
Width : 0.5
Height : 0.03
Position : -0.115
Copy
Input object : Rectangle 1
y : 0.2
Union
Input object : Select all objects
clear the Keep interior boundaries

In the Coefficient Form PDE - Coefficient Form PDE
Absorption Coefficient : -k^2
Source Term : 0
Physics toolbar - Boundaries - Flux/Source
Select boundaries 1 and 4
g : 2*i*k-i*k*u
Physics toolbar - Boundaries - Flux/Source
Select boundaries 11 and 14
g : -i*k*u
Mesh - Free Triangular
Maximum element size : l/5
Build All

Study - Compute

'Structural Analysis > COMSOL' 카테고리의 다른 글
| 117_2D Heat Transfer (1) | 2024.03.26 |
|---|---|
| 112_Flow in Cylinder (0) | 2024.03.21 |
| 8_Modal analysis(2) (1) | 2023.12.08 |
| 7_Modal analysis (0) | 2023.12.07 |
| 6_Buckling analysis (COMSOL) (2) | 2023.12.06 |