In this post, I'll continue solving the problem addressed in the previous post.
Calculate the stress at Gauss points and represent the stress at the nodes.
An example is provided to illustrate the method of using Gauss integration to determine the stress at the point $s=0$, $t=0$ of the element.
Material properties are as follows.
$E = 200{\text{GPa, v}} = 0.3,\,{u_1} = 0,\,{v_1} = 0,\,{u_2} = 0.02,\,{v_2} = 0.03,\,{u_3} = 0.06,\,{v_3} = 0.032,\,{u_4} = 0,\,{v_4} = 0$
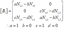
When $s=0$, $t=0$, the $B$ matrix is calculated as follows.

And $J$ is,

$\left| {\left[ J \right]} \right| = 1$ is equal to $\frac{A}{4}$, so ${B_i}$ is calculated as follows.

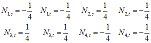
Differentiating the shape functions with respect to $s$ and $t$ and calculating at the point where they are zero, it results as follows.

By solving the two equations simultaneously, it can be calculated as follows.

Calculating the stress using the computed $B$ matrix,

'Finite Element Method' 카테고리의 다른 글
| 39_High Order Example (0) | 2024.01.08 |
|---|---|
| 38_High Order Shape Function (0) | 2024.01.07 |
| 36_Gaussian Quadrature Example (0) | 2024.01.05 |
| 35_Gaussian Quadrature (2) | 2024.01.04 |
| 34_Newton-Contes Quadrature (1) | 2024.01.03 |