In this post, I intend to explain the process of deriving the stiffness matrix for a Q4 element, which is quadrilateral with four nodes, in a plane.
The displacement function for each element should be linear as it is located at the edges.

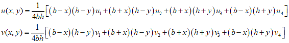
Starting from the lower left corner of the rectangle and numbering the nodes counterclockwise, with the geight from the center being $h$ and the width being $b$, it can be organized as follows.

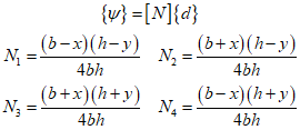
The above equation can be arranged as follows, and in this case, the shape functions are as follows.

Therefore, it can be summarized as follows.

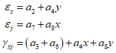
The element strain in two dimensions can be expressed as follows.

Substituting $u(x,y)$ and $v(x,y)$ into the above equation,

Upon arranging the above equations, It can be summarized as follows.

The stiffness matrix can be defined as follows, and using the equations summarized above, the stiffness matrix can be calculated.

'Finite Element Method' 카테고리의 다른 글
| 32_LST example (0) | 2024.01.01 |
|---|---|
| 31_Linear-Strain Triangle element (1) | 2023.12.31 |
| 29_CST example (0) | 2023.12.29 |
| 28_Stress Strain relationship (0) | 2023.12.28 |
| 27_Element Strain (0) | 2023.12.27 |