Cheney and Kincaid(Cheney, Ward, and David Kincaid. Numerical mathematics and computing. International Thomson Publishing, 1998.) based the derivation of cubic splines on the concept that each pair of intervals is connected by a cubic polynomial, which means the second derivative within each interval is linear. The goal of cubic splines is to derive a cubic polynomial for each interval between the knots, by solving only $n-1$ equation.

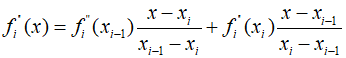
By differentiating the equation twice, the second derivative can be expressed as a first-order Lagrange interpolation polynomial.

Here, $f_i^{''}(x)$ represents the value of the second derivative at any point $x$ within the $i$th interval. Thus, this equation forms a straight line that connects the secon derivative ${f^{''}}({x_{i - 1}})$ at the first node with ${f^{''}}({x_{i}})$ at the second node.
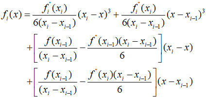
By integrating the above equation twice, one can derive an expression for ${f_i}(x)$. However, this includes two unknown integration constants, which can be determined using the continuity conditions of the function. This leads to the derivation of the following cubic spline equation.

While the expression for the cubic spline in the $i$th interval is more complex, it is crucial to note that it only involves two unknown coefficients the second derivatives at the beginning and end of the interval. Therefore, if the appropriate second derivatives at each node can be determined, the above equation becomes a cubic polynomial that can be used for interpolation within the interval.
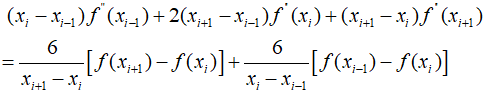
The second derivatives can be calculated using the condition that the first derivatives at the nodes must be continuous.

By differentiating the previous equation, an expression for the first derivative can also be represented. By setting this equal to the above equation, the following relationship can be derived.

If we write the above equation for all internal nodes, it results in $n-1$ simultaneous equations for $n+1$ unknown second derivatives. However, because this is a cubic spline, the second derivatives at the end nodes are zero, reducing the problem to $n-1$ equations. Thus, not only can the number of equations be reduced, but they can also be expressed in a solvable form.
'Numerical Methods' 카테고리의 다른 글
| 154_Cubic Splines (0) | 2024.05.02 |
|---|---|
| 153_Quadratic Splines (0) | 2024.05.01 |
| 151_Lagrange Interpolation Polynomials (0) | 2024.04.29 |
| 150_Newton's Interpolation Polynomials (0) | 2024.04.28 |
| 149_Quadratic Interpolation (0) | 2024.04.27 |