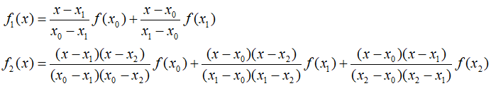
The Lagrange interpolation polynomial reformulates the Newton polynomial while avoiding the calculation of divided differences, and it can be succinctly expressed as follows.

The linear and secon-order versions of the above formula are as follows.

The succinctly expressed equation can be directly derived from Newton's polynomial. However, in the Lagrange form each term of ${L_i}(x)$ becomes $1$ at $x = {x_i}$ and $0$ at all other sample points. Thus, each product ${L_i}(x)f({x_i})$ takes the value of $f({x_i})$ at the sample point ${x_i}$. Therefore, the sum of all specified products represents the unique $n$th degree polynomial that passes through all data points.
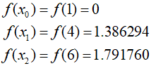
Solve an example of calculation $\ln 2$ using Lagrange interpolation polynomials. For simplicity, I'll use both first-order and second-order Lagrange interpolation polynomials.

Using a first-order polynomial, we can estimate the vlaue at $x=2$.

Similarly, using a secon-order polynomial, we can estimate the value at $x=2$.

This result is consistent with the one obtained using Newton's interpolation polynomial.
'Numerical Methods' 카테고리의 다른 글
| 153_Quadratic Splines (0) | 2024.05.01 |
|---|---|
| 152_Derivation of Cubic Splines (0) | 2024.04.30 |
| 150_Newton's Interpolation Polynomials (0) | 2024.04.28 |
| 149_Quadratic Interpolation (0) | 2024.04.27 |
| 148_Linear Interpolation (0) | 2024.04.26 |