Based on what was written in the previous post(124_Linearization), I plan to explain the process of transforming a problem into a linearized subproblem using an example.

In the given problem, linearize the cost and constraint function based on the point ${x^{(0)}} = \left( {1,1} \right)$. By substituting ${x^{(0)}}$ into the cost and constraint functions and calculating, the results are as follows.

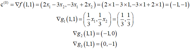
Also, calculating the gradient at ${x^{(0)}}$ yields the following.

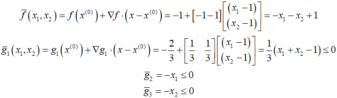
Using the Taylor expansion to find the linearized cost function at ${x^{(0)}}$ results in the following.

Similarly, linearizing the constraint function results in the following.

Therefore, the linearized subproblem is defined as minimizing the cost function in equation $\bar f$, subject to the above constraint conditions. The matrix ${\bf{A}}$, and vectors ${\bf{b}}$ and ${\bf{c}}$ from the equation can be determined as follows.

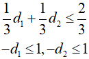
Therefore, the linearized subproblem can be written in terms of ${d_1}$ and ${d_2}$, as well as in terms of the original variables ${x_1}$ and ${x_2}$. Replacing ${\bf{d}} = (x - {x^{(0)}})$ in the previous expression formulas, it can be summarized as follows.

'Optimization Technique' 카테고리의 다른 글
| 127_Search Direction (0) | 2024.04.05 |
|---|---|
| 126_Potential Constraint Set (0) | 2024.04.04 |
| 124_Linearization (0) | 2024.04.02 |
| 123_BFGS Method Example (0) | 2024.04.01 |
| 122_BFGS Method (0) | 2024.03.31 |